+1 250 217 2800
INOUSSA NS. MOUICHE
MSc. in Eletronics, MSc. in Applied Mathematics and Computer Sciences, MEng in Telecom and Information Security, University of Victoria, Canada. Queen Elizabeth Scholar, speak and write English and French

ONGOING PROJECT
Robotic Club, University of Victoria
We have an excited project of building a Mars Rover for UVic Robotic Club based on our own experience we gained so far in Electronic, Mechanics and Computer Sciences. Personally I am working in the compartment of mathematical modeling for the robot arm with Matlab.
MIDTERM PROJECTS
1)- Internet of Things (IoT) Architecture Security: SecureITree Based-attack (Paper project supervised by Dr. Samer, deadline June 30, 2017)
2)- Distributed and Parallel Programming with Hadoop/MapReduce and Resilient Distributed Dataset (RDD) with Spark. (Deadline June 30)
4)- Python Implementation of Genetic algorithm Variants for Snapsack problem (Deadline July 30)
5)- Anomaly-based detection: Implementation of the Keystroke dynamics authentication to to distinguish between the password typing behaviour of the legimate user when he’s gaing access to his/her account and the typing of an adversary trying to gain illigitimated access to the same account. This would be done using the shared data set on kaggle. (Deadline July 30)
6)- Ethic and Information Security Talk. June 15, University of Victoria




Network Traffic /Malware Analysis
Inoussa Mouiche and Mustapha Rachidi




Hadoop/MapReduce and Spark to Identify Common Friends for an Online Social Network
Inoussa Mouiche and Huawei Yang




Advanced Risk Analysis Using SecurItree Software:
ACME Corporation
Briefly, as risk analysis is concerned in many companies, our main objective is to figure out or predict which attacks are more likely to happen and therefore recommend some strategic decisions about workable defenses system to put in place.
Machine Learning: Evaluation & Debugging
Inoussa







3)- Cryptanalysis of the SHA-3 using PreImage techniques: Python Implementation.
Inoussa Mouiche



3)- Cryptanalysis of the SHA-3 using PreImage Techniques: Python Implementation.
Inoussa Mouiche
Python Implementation of Genetic algorithm Variants for Snapsack problem
Inoussa Mouiche








Credit Card Fraud Detection Using Machine Learning
Logistic Regression, Random Forest, SVM and Decision Tree
1) RSA Public Key Crypto-system and its Fast Decryption using Chinese Reminder Theorem and Montgomery Algorithm for Moderns Mobile Phones: Implementation in Python.

RSA with

Chinese remainder theorem

and Montgomery exponentiation




"
Network Penetration testing in ACME’ internal network: Security Breaches and Defense". 2017
• Network penetration testing, Vulnerability evaluation and exploitation, brute force attacks.
• Defense Strategies, IDS, IPS, Snort and Firewall implementation with Kali Linux




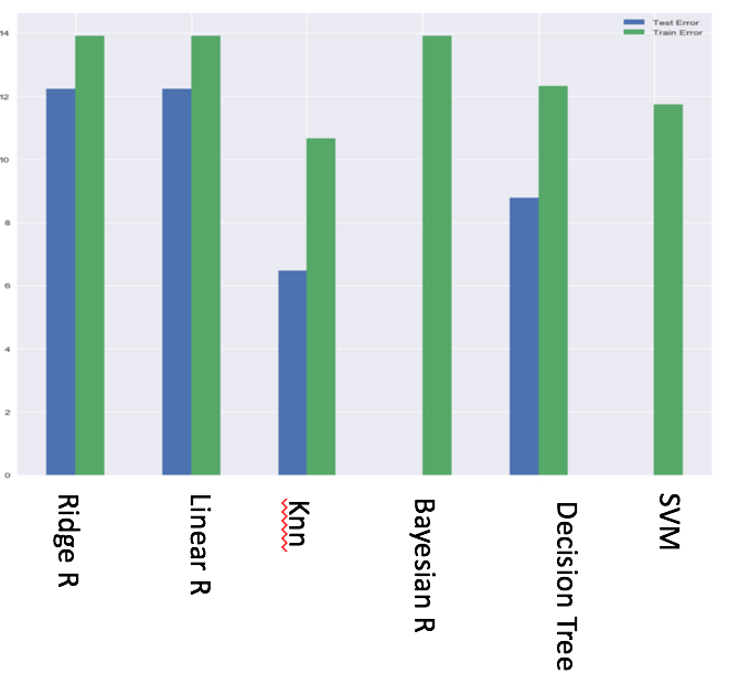
"Performance Analysis of Different Classification Models: SVM, Bayes Regression, Ridge Regression, Linear Regression, and K-Nearest Neighbour ."
Inoussa




3) Performance Analysis of Carry Select Adder with Binary to Excess-1: Primitive with Spartan 6 FPGA
Reconfigurable Systems




Performance Analysis of MAC Protocol S-Aloha for Cognitive Radio User using Tagged User Approach
Under the Supervision of Pr. Lin Cai, Department of Electrical and Computer Engineering, University of Victoria
SUCCESSFUL CLASS WORKS

Poisson Image Editing
Proposed by Dr. Leopold Matamba, Ohio State University, USA.
I was student for this project and I completed in 3 days.
The project consists of blending the face of Obama into a Orange using Python.
African Institute for Mathematical Sciences (AIMS), Cameroon, 2014.

Geometry processing of Book Friendly Scanner
Proposed by Prof. Axel Schumann, Technische Hochschule Mittelhessen - University of Applied Sciences, Germany, for 3 Weeks.
I was the tutor responsible until we write up a scientific paper. The project is to build a book friendly scanner that works by taking images of the pages of a book and processing these images to produce bright and adjusted pictures of the pages without damaging the book using Python OpenCV.
African Institute for Mathematical Sciences (AIMS), Cameroon 2015

Route Finding, Graph Theory
proposed by Prof. Axel Schumann, Technische Hochschule Mittelhessen - University of Applied Sciences, Germany, 3 Weeks.
I was the tutor responsible until we write scientific paper.
The project is to detect all the nodes (Carrefours) in Limbé town and find all possible connections (Edges). Evaluate the cost with respect the distance and find the shortest path from one point to another. Dijkstra’s Algorithm.
AIMS-Cameroon, 2015.



